Congratulations to the Lady Bearcats on an incredible victory at the Class C State Tournament! Your hard work, determination, and teamwork paid off in a huge way, and the entire community is proud of what you accomplished. Winning a state championship is no small feat, and you represented your school with heart, grit, and class every step of the way. Enjoy this moment and celebrate all the dedication that led to this achievement. Way to go, Lady Bearcats — State Champions!

Special School Board Meeting Thursday, March 19, 2026, at 7 pm. The public is encouraged to attend.

They did it! Our Bearcats are State Champions!
State C Basketball Brackets. You can also find them in the documents section under Athletics > High School Basketball. State basketball tips off on March 11th, with the boys’ first game starting at 3:00 PM, and the DGSG girls kicking off their side of the bracket on March 12th at noon at the Adams Center on the University of Montana campus in Missoula, Montana. 🏀 GO BEARCATS


Dress up days for Spirit Week in honor of our own DGSG Lady Bearcats taking a spot at the State Basketball Tournament. They will kick off the Girls side of the bracket on Thursday March 12th at noon in the U of M Adams Center in Missoula, MT.
GO BEARCATS!!
GO BEARCATS!!

GPS has power, and will operate as normal this morning.
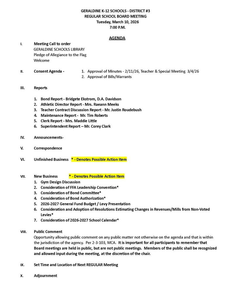
Regular School Board Meeting March 10, 2026, at 7 pm. The public is encouraged to attend!

Notice of Trustee Election Cancellation.
Notice is hereby given that the Geraldine Public Schools District No. 3, Chouteau County, State of Montana, Trustee Election is Canceled.
Notice is hereby given that the Geraldine Public Schools District No. 3, Chouteau County, State of Montana, Trustee Election is Canceled.

Special School Board Meeting following Teacher Interview, March 4, 2026, at 6:30 pm.

Elementary Teacher Interview, March 4th, 2026, at 5:30 pm. The interview will be at the Geraldine Schools Library.

Challenge Game
The DGSG boys’ basketball team will take the court tonight at 7:00 PM as they compete in the Boys Basketball Challenge Game against Roy/Winifred in Lewistown. Come out and support the DGSG boys as they look to bring home a win!


Join us on Wednesday morning, February 25, as our FFA students prepare and serve breakfast for the community. We warmly invite you to come out and show your support while enjoying a delicious meal cooked by our talented FFA members. We look forward to seeing you there!

LEGAL NOTICE
REQUEST FOR PROPOSALS (RFP)
GERALDINE PUBLIC SCHOOLS
Geraldine Public Schools is seeking sealed proposals for the replacement of approximately 3,200 sq. ft. of the elementary/middle school roof at Geraldine Public Schools. A mandatory on-site inspection is required; schedule by calling Tim Roberts at (406) 737-4371
Work Period: May 25 - August 1, 2026
Proposals due: April 1, 2026
Send proposals to:
Geraldine Public Schools
Roof Project
Attn: Corey Clark
PO Box 347
Geraldine, MT 59446
Or email cclark@geraldine.k12.mt.us
The District reserves the right to reject any or all proposals
REQUEST FOR PROPOSALS (RFP)
GERALDINE PUBLIC SCHOOLS
Geraldine Public Schools is seeking sealed proposals for the replacement of approximately 3,200 sq. ft. of the elementary/middle school roof at Geraldine Public Schools. A mandatory on-site inspection is required; schedule by calling Tim Roberts at (406) 737-4371
Work Period: May 25 - August 1, 2026
Proposals due: April 1, 2026
Send proposals to:
Geraldine Public Schools
Roof Project
Attn: Corey Clark
PO Box 347
Geraldine, MT 59446
Or email cclark@geraldine.k12.mt.us
The District reserves the right to reject any or all proposals

Dear Staff, Parents, and Stakeholders,
I am writing to inform you of an important calendar adjustment regarding our upcoming PIR day.
The PIR day originally scheduled for April 24th will be moved to April 17th. This change is necessary to ensure our professional development provider can work with us in person. Having our provider on-site will allow for stronger collaboration, deeper engagement, and more meaningful implementation work.
This professional development is funded through our literacy grant and represents the first step in establishing our own comprehensive instructional framework. This work will help us build consistency across classrooms, strengthen schoolwide literacy practices, and create a clear, research-based approach to instruction that supports all students.
We appreciate your flexibility with this adjustment and your continued support as we invest in meaningful professional learning designed to improve outcomes for our students.
If you have any questions, please feel free to reach out.
I am writing to inform you of an important calendar adjustment regarding our upcoming PIR day.
The PIR day originally scheduled for April 24th will be moved to April 17th. This change is necessary to ensure our professional development provider can work with us in person. Having our provider on-site will allow for stronger collaboration, deeper engagement, and more meaningful implementation work.
This professional development is funded through our literacy grant and represents the first step in establishing our own comprehensive instructional framework. This work will help us build consistency across classrooms, strengthen schoolwide literacy practices, and create a clear, research-based approach to instruction that supports all students.
We appreciate your flexibility with this adjustment and your continued support as we invest in meaningful professional learning designed to improve outcomes for our students.
If you have any questions, please feel free to reach out.
The District 7C Basketball Tournament tips off Wednesday, Feb. 18, in Lewistown!
The girls team will open tournament play Wednesday afternoon against WSS at 3 p.m. The boys team will follow on Thursday, Feb. 19, facing Hobson-Moore at 4:30 p.m.
Come out and support DGSG Basketball and Cheer!
Attached are the 7C District Basketball Standings & 7C District Tourney Bracket


Spirit Week Feb 16th-18th! See attached flyer for the dress up days!

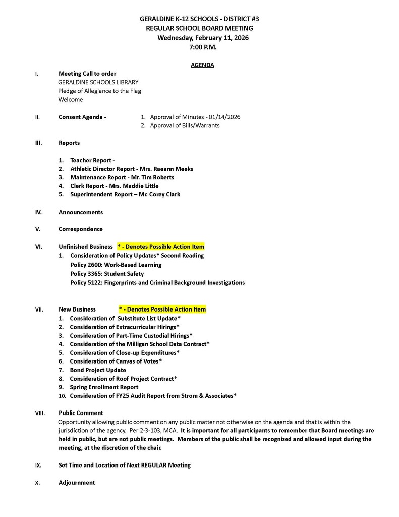
Regular School Board Meeting February 11, 2026, at 7 pm. The public is encouraged to attend!

Hello GPS Family,
We’re happy to share that the recent school bond has passed! Thank you to everyone who took the time to vote and support our schools.
This bond allows us to move forward with important improvements that will benefit our students, staff, and community for years to come. We truly appreciate the trust and commitment you’ve shown.
We’ll be sharing updates as projects move ahead. Thanks again for standing behind our schools!
Respectfully,
Corey Clark
We’re happy to share that the recent school bond has passed! Thank you to everyone who took the time to vote and support our schools.
This bond allows us to move forward with important improvements that will benefit our students, staff, and community for years to come. We truly appreciate the trust and commitment you’ve shown.
We’ll be sharing updates as projects move ahead. Thanks again for standing behind our schools!
Respectfully,
Corey Clark
Notice of Information Concerning Voting Systems

Notice of Location and Method for Counting Absentee/Mail Ballots

